Kliknite tukaj, da si ogledate profil, kot ga vidijo drugi
 
Domov > Forum > Zanimivosti

Algebra: Vektorski in mešani produkt

 
 
17.10.2009, 15:13
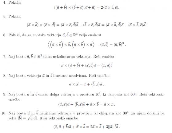
Tukaj vam prilagam nekaj nalog. Če kdo zna kakšno rešit bi mi zelo pomagal, če ne pa vsaj če kdo napiše glavne lastnosti teh dveh produktov, pa bi potem sam nekaj skombiniral.



 
 
 
17.10.2009, 19:17
Lastnosti teh dveh produktov najdeš na Wikipedii:

http://sl.wikipedia.org/wiki/Vektorski_p....
http://sl.wikipedia.org/wiki/Mešani_pro....
 
 
Prijava in registracija
 
 
 
Zmaga.com ponuja brezplačno in razumljivo učenje računalniških programov, vas na enkraten način spozna z različnimi svetovnimi jeziki, s podrobno obrazloženimi recepti prikaže čare kulinarike in vam prežene strahove pred domačimi opravili.
 
 
Poleg tega lahko prebirate poučne članke, ki so namenjene širjenju naše splošne razgledanosti ter preverite svoje znanje z priljubljenim in enostavnim sistemom za preverjanje znanja. Če med vsebinami, ki se dodajajo vsak dan, ne najdete želenega znanja, je za vaša vprašanja na voljo dobro obiskan forum, kjer lahko tudi aktivno sodelujete. V primeru, da bi radi svoje praktično znanje delili z ostalimi, pa to lahko storite preko preprostega vmesnika za dodajanje vsebin. Zmagajte z znanjem z Zmaga.com!